سوال ۴۶
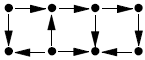
آیا میتوان به هر نقطهی شکل زیر٬ یک عدد طبیعی نسبت داد٬ به قسمی که اگر از نقطهی مربوط به عدد $A$، یک فلش به نقطهی مربوط به عدد $B$ وجود داشته باشد٬ آنگاه $A$ بر $B$ بخشپذیر باشد؟
پاسخ
به همهی نقاط عدد یکسان $n$ را نسبت دهید.
| ▸ سوال قبل | سوال بعد ◂ |
